当初刚接触到1oz=34.3μm、2oz=68.6μm时就感觉好奇怪,盎司(香港译为安士)是英制重量单位,符号为oz,1oz=28.35g;微米是长度单位,符号μm ,1毫米=1000微米,这重量单位与长度单位怎能对等呢?问了周围的人都是知其然而不知所以然,后来带着这样的疑问查阅了相关资料终于让我找到了惊喜。

线路板行业里是用单位面积的重量来表示铜箔的平均厚度的,即“1平方英尺面积上的均匀铜箔重量为1OZ”,根据此定义我们就可以算出1oz的铜箔的厚度是多少了。换算方法如下:
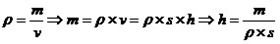
根据密度计算公式推出厚度算法:

h:铜箔厚度 m:铜箔重量 s:铜箔面积
已知量:
1oz=28.35g 1英尺=30.48厘米 1平方英尺=929.0304平方厘米 Cu密度=8.9克/立方厘米
将以上数据代入公式:

汽车BMS板
医疗设备FPC
通讯功放 PCB
汽车传感器板PCB